前言
鈦合金緊固件具有密度小、比強度高、抗腐蝕性好等優點,成為航空、航天領域的重要連接元件,獲得
迅速發展[1-2]。然而,鈦合金緊固件的摩擦因數較大且耐磨性能差,在裝配和拆卸過程中,螺栓和螺母易
發生黏著,甚至造成緊固件“咬死”,嚴重影響了航天型號的可靠性,阻礙了鈦合金緊固件在航空航天領域
的進一步應用[2-5]。因此,研究如何改善鈦合金表面摩擦學性能、降低摩擦因數、提高其耐磨性成為航空
、航天緊固件的重要研究課題之一。
目前,通過表面工程技術在鈦合金表面制備高硬度且抗磨損的涂層是改善其摩擦學性能的有效途徑之一
[6-7]。常用的鈦合金表面涂層制備技術包括表面氧化[8-9]、氣相沉積[10-12]、高能噴涂[13-14]、激光熔
覆[15-16]等。脈沖陽極氧化可在鈦合金表面形成致密的氧化膜,提高鈦合金表面硬度和耐磨性,且工藝簡
單成本低廉,因此成為一種應用廣泛的鈦合金表面涂層制備技術[17-20]。此外,脈沖陽極氧化可與其他工
藝進行復合,形成復合氧化涂層,可在提高鈦合金硬度的同時降低其摩擦因數或提高其耐腐蝕性能。WU等
[17]使用陽極氧化法在鈦合金表面制備了包含聚四氟乙烯(PTFE)納米顆粒的復合陽極氧化膜,摩擦試驗結
果表明,氧化膜和PTFE的協同作用提高了涂層整體的抗磨減摩性能。
ALIOFKHAZRAEI等[20]通過陽極氧化法制備了包含氮化硅(Si3N4)和氧化鋁(
Al2O3)納米顆粒的復合氧化膜,提高了鈦合金整體的耐磨性。
二硫化鉬(MoS2)作為一種常見二維層狀材料,其較低的界面剪切強度使其具有優越的減
摩效果,被廣泛用于固體潤滑材料[21-25]。在鈦合金緊固件表面涂敷MoS2,有望降低其表面摩
擦因數,減少黏著和咬死情況的發生。MU等[24]使用一步等離子電解氧化法在鈦合金表面制備了含
MoS2的復合氧化涂層。摩擦測試表明,含MoS2的復合氧化涂層摩擦因數和磨損率均
低于不含MoS2的氧化涂層。
鈦合金緊固件連接鋁合金航空結構時,為了避免二者之間產生電偶腐蝕,常需要對鈦合金緊固件進行鍍
鋁處理[26]。所鍍鋁涂層不僅能夠阻隔緊固件基體與腐蝕介質相接觸,而且可通過犧牲自身對周圍構件起到
陽極保護作用,因此在鈦合金緊固件中的應用日趨廣泛。
綜上,陽極氧化、涂MoS2以及涂鋁技術對于改善鈦合金緊固件表面耐磨性、潤滑性和耐蝕
性具有良好效果,但這些技術的綜合應用效果尚需進一步研究。本文以TC4鈦合金為基體,分別對表面未處理(LT)、表面脈沖陽極氧化處理(PA)、表面脈沖陽極氧化和涂鋁復合處理(PA-Al)、表面脈沖陽極氧
化和涂MoS2復合處理(PA-MoS2)四種表面狀態樣品進行了摩擦學性能綜合分析,
對其摩擦因數、磨損率、磨損形貌進行測試,探究不同表面狀態下鈦合金摩擦副的摩擦特性和磨損機理。
1、試驗準備
1.1試驗材料
試驗選用尺寸為φ12mm×5mm的TC4鈦合金為試樣,選用直徑10mm的TC4鈦合金小球為對磨副,所用TC4鈦合金的化學成分如表1所示。

1.2表面涂層制備
首先對試樣進行表面脈沖陽極氧化處理,以TC4鈦合金試樣為陽極,鉛板為陰極。脈沖陽極氧化的溶液
組成為硫酸-磷酸混酸溶液,試驗溫度為0~10℃,試驗時間為20min。試驗主要工藝包括:化學除油、水洗
、陽極氧化、水洗干燥、檢驗等。采用手工噴涂的方法,分別對脈沖陽極氧化處理后的樣品進行涂鋁和涂
MoS2處理,得到脈沖陽極氧化-涂鋁和脈沖陽極氧化-涂MoS2復合處理的試樣。
1.3試驗參數確定
采用摩擦磨損試驗機(UMT-3)測試不同表面狀態鈦合金樣品的摩擦學性能,上試樣選用直徑10mm的TC4
鈦合金球,下試樣分別為表面未處理(LT)、脈沖陽極氧化處理(PA)、脈沖陽極氧化和涂鋁復合處理
(PA-Al)、脈沖陽極氧化和涂MoS2復合處理(PA-MoS2)四種表面狀態的鈦合金試
樣。
分別選取1和4N作為測試載荷,依據赫茲接觸公式計算球-盤間的赫茲接觸應力,經計算載荷1和4N下的
赫茲接觸應力分別為310和493MPa。試驗模式為旋轉模式,旋轉半徑為3mm,旋轉速度為20r/min(線速度
6.28mm/s),測試時間20min。
1.4磨損形貌分析表征
試樣表面磨痕和磨球表面磨斑的磨損形貌使用超景深顯微鏡(VHX-6000,日本)、三維白光干涉形貌儀
(Nexview,美國)以及聚焦離子束掃描電鏡(LYRA3,捷克)進行表征;依據三維白光干涉形貌儀表征涂層表
面粗糙度,依據磨損形貌結果并計算樣品的磨損體積及磨損率。使用掃描電鏡配套的EDS能譜儀分析樣品磨
損區域的元素組成。綜合分析各種測試結果,探究不同表面狀態試樣的減摩耐磨機理。
2、結果及分析
2.1摩擦因數
試樣表面脈沖陽極氧化處理后的鍍層厚度在5~6.5μm范圍內。圖1為使用三維白光干涉形貌儀
(Nexview,美國)測量的四組試樣的表面三維形貌,對每個樣品分別取150μm×300μm區域測試其表面粗糙度
Sa。結果表明,未經過表面處理的鈦合金試樣表面平整,表面粗糙度約為0.2695μm,經脈沖陽極氧化后,表
面出現較多島狀凸起,表面粗糙度有所增加,約為0.5635μm。試樣經過表面涂鋁或涂MoS2后,
表面的凸起進一步增大,脈沖陽極氧化和涂鋁復合處理樣品的表面粗糙度約為0.6933μm,脈沖陽極氧化和涂
MoS2復合處理樣品的表面粗糙度約為0.9515μm。

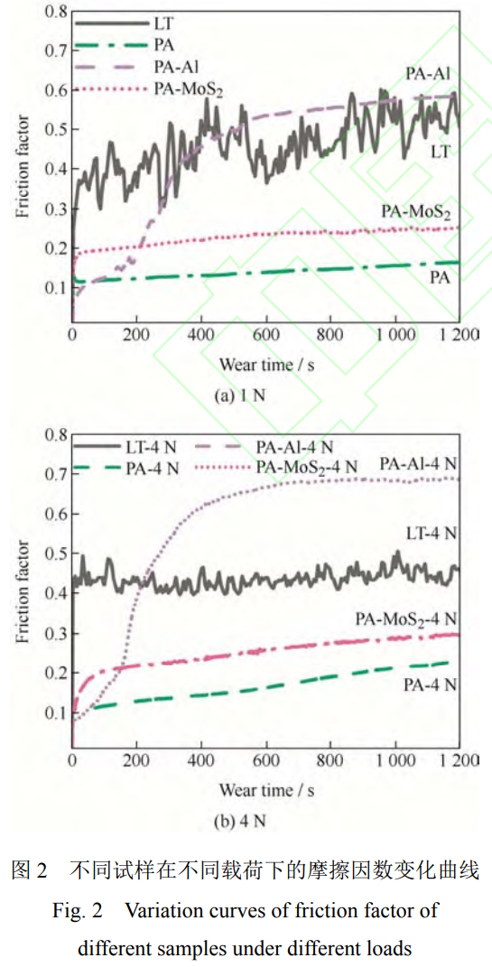
圖2所示為不同表面狀態試樣在1和4N載荷下的摩擦因數變化曲線。經過跑合期后,樣品的摩擦因數逐漸
趨于穩定,圖3所示為摩擦因數趨于穩定后的平均摩擦因數。從圖中可以看出,在1N載荷下,未經過表面處
理(LT)樣品的平均摩擦因數約為0.53,且波動劇烈,這主要由于經過短暫的跑合后,鈦合金和鈦合金直接
接觸,容易發生黏著磨損[27-28];經過脈沖陽極氧化處理(PA)樣品的摩擦因數最低,約為0.16,且樣品
跑合期短,摩擦因數波動小,這表明經過脈沖陽極氧化所形成的涂層具有一定的潤滑效果,同時可以有效減
少與鈦合金球發生黏著;經過脈沖陽極氧化和涂鋁復合處理(PA-Al)樣品的摩擦因數最高,約為0.58,且跑合期最長,摩擦因數整體波動較小,這表明表面涂鋁后樣品的潤滑性能不佳,摩擦過程中雖不易發生黏著
,但也較難形成有效的固體潤滑膜,整體摩擦因數較高。


經過脈沖陽極氧化和涂MoS2復合處理(PA-MoS2)樣品的摩擦因數較低,約為
0.25,摩擦因數整體波動小,跑合期短,表明樣品表面可以在較短時間內形成有效的固體潤滑膜,這主要歸
功于MoS2優異的固體潤滑性能,但由于與脈沖陽極氧化復合處理后樣品的表面粗糙度較高,樣
品的摩擦因數要高于單獨進行脈沖陽極氧化的樣品。在4N載荷作用下,不同表面狀態樣品的摩擦變化趨勢基
本一致,即PA樣品的摩擦因數最低且平穩,LT樣品摩擦因數較高且波動劇烈,PA-Al樣品摩擦因數最高且跑
合期長。對比不同樣品在低載(1N)和高載(4N)下的摩擦因數,結果表明經過表面處理后樣品在高載下的
摩擦因數均高于低載下的摩擦因數。由摩擦因數的測試結果可以得出,從減摩角度考慮,PA和PA-
MoS2兩種表面處理技術對鈦合金樣品均有明顯的減摩效果,其中以PA處理后樣品的減摩效果最佳。
2.2磨痕宏觀形貌及磨損率
圖4為不同試樣(LT、PA、PA-Al、PA-MoS2)在1N載荷下的磨痕和磨球磨斑形貌照片。從圖
中可以看出,LT樣品磨痕最寬、磨痕最深,同時磨球的磨斑也最大,磨損明顯;PA樣品磨痕較淺且最窄,同
時磨球的磨斑也最?。籔A-Al樣品磨痕為不連續黑色磨痕,磨球磨斑較大;PA-MoS2樣品磨痕寬
度與PA-Al樣品相近,磨痕連續,磨球磨斑較小。

圖5為不同試樣(LT、PA、PA-Al、PA-MoS2)在4N載荷下的磨痕和磨球磨斑形貌照片。由于
載荷變大,因此磨損也有所加劇,各個樣品的磨痕均寬于1N載荷下的磨痕[29],LT樣品表面有著明顯的犁溝
和黏著物,磨痕最寬,磨斑直徑大于600μm;PA樣品磨痕依然是最淺且最窄的,同時磨球的磨斑也最小,減
磨效果明顯;PA-Al樣品磨損劇烈,磨痕較深,相比于低載荷(1N)情況,黑色點狀磨痕已連成整體,并且
在兩邊堆積較多磨屑,表明樣品表面較難形成有效的固體潤滑膜,這與摩擦因數曲線所得結果一致;PA-
MoS2樣品磨損均勻,磨痕寬度較窄但磨痕較深,有減磨效果,但因質地較軟導致磨損明顯。

采用三維白光干涉形貌儀測試樣品磨痕截面面積,每個磨痕取6個位置,計算截面面積平均值,并計算
樣品的磨損體積和磨損率,結果如圖6所示。在低載荷下(1N)PA樣品的磨損率最低,約為
5.8×10?4mm3(N·m),這與該樣品低的摩擦因數和短的跑合期結果相一致,表明
脈沖陽極氧化有較好的減磨效果;PA-Al樣品的磨損體積與磨損率最大,甚至高于LT樣品的磨損率,這是由
于脈沖陽極氧化和涂鋁復合處理樣品后,樣品表面難以形成有效的固體潤滑膜,因此樣品磨損過程中跑合期
長且摩擦因數高;脈沖陽極氧化和涂MoS2復合處理后的樣品磨損率與LT樣品的磨損率相近,這
表明盡管涂覆MoS2后可用形成良好的潤滑膜,使摩擦因數降低,但表面粗糙度增大且
MoS2硬度較低,易發生材料轉移,因此磨損率比只進行脈沖陽極氧化的樣品高。在高載荷下
(4N)PA樣品的磨損率最低,約為5.7×10?4mm3(N·m),與低載荷下測得的磨損
率相近,其余三組樣品的磨損率均高于其對應低載荷下的磨損率,其中PA-MoS2樣品磨損率增加
幅度最大,約為35.2×10?4mm3(N·m),主要歸因于所涂MoS2質地較
軟且表面粗糙度高,雖可以形成潤滑膜降低摩擦因數,但在高載荷下更容易被磨除。

2.3磨痕微觀形貌及磨損機理分析
通過SEM和配套的能譜儀對不同表面狀態樣品磨痕的微觀形貌和元素組成進行分析表征,結果如圖7所示
。對于LT樣品,表面磨痕最寬,磨痕區域內沿著滑動方向分布犁溝,部分犁溝上有突起的黏著物,在更高倍
數的照片中可以看到,黏著物上有沿著滑動方向生成的撕裂裂紋,這表明LT樣品摩擦過程中材料的主要去除
過程是表面塑性變形,然后形成犁溝,部分接觸表面在壓力下會形成黏著區并在后續的滑動中斷裂,形成小
凸起。EDS結果表明,黏著區域的元素組成主要以Ti元素為主,并存在Al、V、O和C元素。

對于PA樣品,表面形成的磨痕寬度最窄,深度較淺,表面未形成明顯犁溝。高倍放大圖顯示,經過脈沖
陽極氧化后,元素表面形成了較為致密的氧化膜,組成元素以Ti和O為主,同時存在少量的Al、C、P、Mo元
素等。結果表明,通過脈沖陽極氧化在TC4表面形成較為致密的氧化膜,表面硬度增加,在摩擦過程中不易
由于擠壓塑性變形而形成犁溝,同時所形成鈦的氧化物具有一定的潤滑作用,在材料表面形成了固體潤滑膜
,不僅使材料具有低的摩擦因數,降低了磨損率,同時可以阻隔鈦合金直接接觸,減少黏著的發生。
對于PA-Al樣品,表面形成的磨痕寬度居中,表面未形成犁溝,但有大塊的剝落孔洞和塊狀物,局部放
大圖可以看到剝落處為脆性斷裂,表明在脈沖陽極氧化表面進行涂鋁工藝后,表面有脆性相生成。EDS結果
表明,樣品表面存在較多的Al和O元素,故推測有Al2O3陶瓷相生成,導致表面易發生脆性剝落。在摩擦過程
中,樣品表面由于硬度增加,不易生成犁溝,但表面脆性較高易生成裂紋,裂紋擴展最終生成剝落坑,因此
樣品表面較難形成有效的固體潤滑膜,跑合期長且摩擦因數高,最終樣品的磨損率較高。
對于PA-MoS2樣品,表面形成的磨痕寬度比LT窄但高于PA樣品。磨痕形貌較平整,未形成明
顯的犁溝,同時與PA-Al樣品不同,磨痕中未出現剝落坑,放大圖能看出表面由許多不規則的塊狀物組成。
EDS結果表明,磨痕中主要元素以S和Mo為主,同時檢測到少量的C、O和Si元素。
綜合以上分析,總結了不同表面狀態TC4鈦合金與TC4摩擦時的磨損機理,如圖8所示。未經過表面處理
(LT)的鈦合金樣品由于表面硬度低且易與同種材料的TC4發生黏著,因此磨損較為劇烈,摩擦因數的寬幅
上下波動和磨痕中的凸起黏著轉移物均表明在摩擦過程中,對磨副表面發生了嚴重的黏著,其磨損機理如圖
8a所示。在軸向壓力和摩擦熱作用下,TC4球和TC4盤之間發生塑性變形,隨后發生黏著,因此在這種表面狀
態下,主要磨損機理為犁削和黏著磨損;樣品表面經過脈沖陽極氧化處理(PA)后,表面生成較為致密的
TiO2涂層,硬度提高,減摩性好,同時與基體具有較高的結合強度,因此大幅提高材料的耐磨性能[30],磨
損率和摩擦因數最低。同時,由于表面氧化膜的存在,樣品表面不易產生塑性變形,也不易和TC4球之間形
成擴散,因此不易發生黏著,如圖8b所示;經過脈沖陽極氧化和涂鋁復合處理(PA-Al)后,樣品表面會部
分生成Al2O3,Al2O3具有更高硬度,但韌性較差,摩擦過
程中容易發生脆裂,最終導致表面形成剝落坑[31],因此樣品的跑合期長且摩擦因數高,而剝落的硬質磨屑
又會加劇樣品的磨損,造成樣品較高的磨損率,磨損機理主要表現為剝落和磨粒磨損,其機理如圖8c所示;
經過脈沖陽極氧化和涂覆MoS2復合處理(PA-MoS2)后樣品表面存在較多的
MoS2,在摩擦過程中,經過跑合期后會在表面生成潤滑膜,因此樣品表面具有較低的摩擦因數
,但由于MoS2易發生轉移,因此樣品的磨損率相對較高,其機理如圖8d所示。

3、結論
TC4樣品經過不同表面處理后其摩擦磨損性能差異明顯。未經過表面處理的鈦合金樣品在摩擦磨損過程
中表面易發生黏著磨損,摩擦因數高且不穩定,約為0.53,這也說明未經過表面處理的鈦合金緊固件發生“
咬死”現象的主要原因是其易與工件發生黏著。經過脈沖陽極氧化處理(PA)后樣品表面會生成TiO2氧化層
,減摩(摩擦因數約為0.16)和耐磨特性(磨損率5.8×10?4mm3(N·m))最佳,
高載下依然穩定(摩擦因數約為0.22、磨損率5.7×10?4mm3(N·m)),且有明顯
的抗黏著效果。經過脈沖陽極氧化和涂鋁復合處理(PA-Al)的樣品并未展現減摩耐磨特性,磨痕表面有大
塊的剝落孔洞和塊狀物,摩擦因數和磨損率較未處理樣品均有增高。經過脈沖陽極氧化和涂
MoS2復合處理(PA-MoS2)的樣品表面未發現磨粒磨損和黏著磨損,樣品表現出一
定的減摩(摩擦因數約為0.25)效果,但耐磨性(磨損率9.8×10?4mm3(N·m))
較差,且在高載下磨損率有較大幅度升高(磨損率35.2×10?4mm3(N·m))。
參考文獻
[1] 李蒙,鳳偉中,關蕾,等. 航空航天緊固件用鈦合金材 料綜述[J]. 有色金屬材料與工程,2018,
39(4):49-53.
LI Meng, FENG Weizhong, GUAN Lei, et al. Summary of titanium alloy for fastener in
aerospace[J]. Nonferrous Metal Materials and Engineering, 2018, 39(4): 49-53. (in Chinese)
[2] 于建政,寧廣西,林忠亮,等. 航空工業鈦合金緊固件 失效分析研究進展[J]. 材料導報,2013,
27(z1):256-258,264.
YU Jianzheng, NING Guangxi, LI Zhongliang, et al. Failure analysis progress of titanium
alloy fastener used in aerospace industry[J]. Materials Reports, 2013, 27(z1): 256-258, 264.
(in Chinese)
[3] JHA A K, SINGH S K, KIRANMAYEE M S, et al. Failure analysis of titanium alloy
(Ti6Al4V) fastener used in aerospace application[J]. Engineering Failure Analysis, 2010, 17
(6): 1457-1465.
[4] 李新星,施劍峰,王紅俠,等. Ti6Al4V 合金干滑動磨 損過程中摩擦層及摩擦氧化物的作用[J].
表面技術,2019,48(12):233-239.
LI Xinxing, SHI Jianfeng, WANG Hongxia, et al. Role of tribo-layers and tribo-oxides in
dry sliding wear process of Ti6Al4V alloy[J]. Surface Technology, 2019, 48(12): 233-239. (in
Chinese)
[5] 劉雨薇,吳霞,陳紀云,等. 鈦合金摩擦磨損性能及減 磨方法研究進展[J / OL]. 表面技術,
2024,53(12):1-21[2024-05-29]. https://kns.cnki.net/kcms2/article/abstract?v=acR2UJ02Y
hTkNLsiQQZEpO5X6yk57ujmpDKWQL94QO79QobyP 2-KKQv7Sfy9LwUlq_uyIcP4_jwCX2G-b2Vsw3HlKbsS_
S1ukFZVjPRMkupDdYumufkV0h3_824NpusUB78uqO0S6qqEf0FFh8YxmE7Ud6pUcJdCerVarMpbj7eLSPVgp
KS6YQaqeMtgHxS&uniplatform=NZKPT&language=C HS. DOI:10.16490/j.cnki.issn.1001-
3660.2024.12.001.
LIU Yuwei, WU Xia, CHEN Jiyun, et al. Research progress on friction and wear properties of
titanium alloys and wear reduction methods[J/OL]. Surface Technology, 2024, 53(12): 1-21[2024
-05-29]. https://kns.cnki.net/ kcms2/article/abstract?v=acR2UJ02YhTkNLsiQQZEpO5
X6yk57ujmpDKWQL94QO79QobyP2-KKQv7Sfy9LwUl q_uyIcP4_jwCX2G-b2Vsw3HlKbsS_S1ukFZVjPRMkup
DdYumufkV0h3_824NpusUB78uqO-0S6qqEf0FFh8Yxm E7Ud6pUcJdCerVarMpbj7eLSPVgpKS6YQaqeMtgHxS
&uniplatform=NZKPT&language=CHS. DOI:10.16490/j. cnki.issn.1001-3660.2024.12.001. (in
Chinese)
[6] 吳彼,高禩洋,薛偉海,等. 鈦合金表面 TiB2 涂層與 純鋁的高溫黏著磨損行為[J]. 中國表面工
程,2022,35(3):64-72.
WU Bi, GAO Siyang, XU Weihai, et al. High-temperature adhesive wear behavior between TiB2
coating on TC4 substrate and pure Al[J]. China Surface Engineering, 2022, 35(3): 64-72. (in
Chinese)
[7] 付穎,張艷,包星宇,等. 鈦合金表面耐磨涂層研究進 展[J]. 中國腐蝕與防護學報,2018,38
(2):117-123.
FU Ying, ZHANG Yan, BAO Xinyu, et al. Research progress on wear-resistant coatings for
Ti-alloy[J]. Journal of Chinese Society for Corrosion and Protection, 2018, 38(2): 117-123.
(in Chinese)
[8] 胡鵬飛. 鈦合金緊固件藍色陽極氧化影響因素分析與 優化[J]. 熱加工工藝,2021,50(12):102
-103,108.
HU Pengfei. Influencing factors analysis and optimization of blue anodizing for titanium
alloy fastener[J]. Hot Working Technology, 2021, 50(12): 102-103, 108. (in Chinese)
[9] DIAMANTI M V, SEBASTIANI M, MANGIONE V, et al. Multi-step anodizing on Ti6Al4V
components to improve tribomechanical performances[J]. Surface and Coatings Technology, 2013,
227(25): 19-27.
[10] WILSON J C A, WU S J, GOTMAN I, et al. Duplex coatings with enhanced adhesion to Ti
alloy substrate prepared by powder immersion nitriding and TiN / Ti multilayer deposition[J].
Materials Letters, 2015, 157(15): 45-49.
[11] ASKARI S J. Tribological characteristics of nanocrystalline diamond films grown on
titanium[J]. Surface Engineering, 2009, 25(6): 482-486.
[12] GRABARCZYK J, BATORY D, KACZOROWSKI W, et al. Comparison of different thermo-chemical
treatments methods of Ti-6Al-4V alloy in terms of tribological and corrosion properties[J].
Materials, 2020, 13(22): 5192.
[13] 于坤,祁文軍,雷靖峰. 鈦合金表面再制造涂層的研究綜述[J]. 熱加工工藝,2020,49(12):6
-9.
YU Kun, QI Wenjun, LEI Jingfeng. Review of research on remanufacturing coatings on
titanium alloy surface[J]. Hot Working Technology, 2020, 49(12): 6-9. (in Chinese)
[14] ZHAO L, LUGSCHEIDER E. Reactive plasma spraying of TiAl6V4 alloy[J]. Wear, 2002, 253
(11-12): 1214-1218.
[15] 徐倩,劉艷,丁濤. 鈦合金表面激光熔覆耐磨涂層材料 的研究進展[J]. 熱加工工藝,2023,52
(14):24-29.
XU Qian, LIU Yan, DING Tao. Research progress of laser cladding wear resistant coating
materials on titanium alloy surface[J]. Hot Working Technology, 2023, 52(14): 24-29. (in
Chinese)
[16] 楊立軍,文品,石丹玉,等. 鈦基表面 CNTs / Ti 激光 熔覆層的摩擦磨損研究[J]. 功能材料,
2021,52(6):6133-6137.
YANG Lijun, WEN Pin, SHI Danyu, et al. Friction and wear of CNTs / Ti laser cladding layer
on titanium substrate[J]. Journal of Functional Materials, 2021, 52(6): 6133-6137. (in
Chinese)
[17] WU L, WEN C, ZHANG G, et al. Influence of anodizing time on morphology, structure and
tribological properties of composite anodic films on titanium alloy[J]. Vacuum, 2017, 140:
176-184.
[18] WU L, LIU J H, WU G L, et al. Growth behaviour of anodic oxide film on titanium
alloy[J]. Surface Engineering, 2015, 31(12): 904-911.
[19] 馮慧嶠,張旭,師玉英,等. Ti-6Al-4V 鈦合金脈沖陽極 氧化工藝[J]. 電鍍與環保,2016,36
(5):40-42.
FENG Huiqiao, ZHANG Xu, SHI Yuying, et al. Pulsed anodizing process of TI-6Al-4V titanium
alloy[J]. Electroplating & Pollution Control, 2016, 36(5): 40-42. (in Chinese)
[20] ALIOFKHAZRAEI M, ROUHAGHDAM A S, SHAHRABI T. Abrasive wear behaviour of Si3N4 /
TiO2nanocomposite coatings fabricated by plasma electrolytic oxidation[J]. Surface Coatings
Technology, 2010, 205: 41-61.
[21] 李錫剛. 鈦合金涂敷二硫化鉬膜工藝[J]. 電鍍與涂飾,2009,28(5):60-62.
LI Xigang. Process of coating MoS2 film on titanium alloys[J]. Electroplating
& Finishing, 2009, 28(5): 60-62. (in Chinese)
[22] 盧金德,韋春貝,林松盛,等. 磁控濺射 NiCrAlY / MoS2復合薄膜結構與性能研究
[J]. 表面技術,2021,50(5):198-207.
LU Jinde, WEI Chunbei, LIN Songsheng, et al. Structure and properties of NiCrAlY /
MoS2 composite films fabricated by magnetron sputtering[J]. Surface Technology,
2021, 50(5): 198-207. (in Chinese)
[23] 徐進,朱旻昊,陳建敏,等. 制備工藝對 MoS2粘結固 體潤滑涂層微動磨損壽命的影
響[J]. 摩擦學學報,2003,23(2):95-98.
XU Jin, ZHU Minhao, CHEN Jianmin, et al. The influence of preparation processes on
fretting wear life of MoS2 bonded solid lubricating coating[J]. Tribology, 2003,
23(2): 95-98. (in Chinese)
[24] MU M, LIANG J, ZHOU X, et al. One-step preparation of TiO2 / MoS2 composite coating on Ti6Al4V alloy by plasma electrolytic oxidation and its tribological
properties[J]. Surface and Coatings Technology, 2013, 214: 124-130.
[25] SONG W, AN L, LU Y, et al. Friction behavior of TiN-MoS2 / PTFE composite
coatings in dry sliding against SiC[J]. Ceramics International, 2021, 47(17): 24003-24011.
[26] 徐良. 航空鈦合金緊固件鋁涂層性能規范研究[J]. 航 空標準化與質量,2012(1):32-36.
XU Liang. The specification of aluminum pigmented coating for aerospace titanium alloy
fasteners[J]. Aeronautic Standardization & Quality, 2012(1): 32-36. (in Chinese)
[27] 應揚,杜宇,李婷,等. 摩擦配副和摩擦參數對 TC29鈦合金摩擦磨損性能的影響[J]. 有色金屬
材料與工程,2021,42(3):30-34.
YING Yang, DU Yu, LI Ting, et al. Effect of friction pairs and friction parameters on
friction and wear properties of TC29 titanium alloy[J]. Nonferrous Metal Materials and
Engineering, 2021, 42(3): 30-34. (in Chinese)
[28] 李朝志,付彬國,劉金海,等. 鈦合金干滑動摩擦行為 與磨損機理研究進展[J]. 材料導報,
2018,32(z1):410-414.
LI Chaozhi, FU Binguo, LIU Jinhai, et al. Research progress of wear behaviors and
mechanism of titanium alloys under dry sliding condition[J]. Materials Reports, 2018, 32(z1):
410-414. (in Chinese)
[29] 董思成,鐘利,但敏,等. 不同載荷及轉速條件下 MoS2涂層的摩擦磨損性能研究
[J]. 核聚變與等離子體物理,2023,43(1):99-104.
DONG Sicheng, ZHONG Li, DAN Min, et al. Study on the frictional wear performance of
MoS2 coatings under different load and speed conditions[J]. Nuclear Fusion and
Plasma Physics, 2023, 43(1): 99-104. (in Chinese)
[30] LI W, KONG D. Effects of TiO2 mass fraction on friction reduction and wear resistance
of laser-cladded CrNi alloy coating[J]. Journal of Materials Engineering and Performance,
2021, 30(3): 2280-2290.
[31] 宋洪源,烏日開西·艾依提,尹瀛月. 等離子噴涂 Al2O3涂層質量的研究現狀[J]. 熱加工工藝,
2017,46(12): 44-47.
SONG Hongyuan, WURIKAIXI Aiyiti, YIN Yingyue. Research status of quality of plasma sprayed
Al2O3 coating[J]. Hot Working Technology, 2017, 46(12): 44-47. (in Chinese)
作者簡介:任小勇,男,1992 年出生,工學博士,副教授,碩士研究生導師。主要研究方向為機械裝
備耐磨防護。 E-mail: xiaoyong_ren@sina.cn
程潔(通信作者),女,1990 年出生,工學博士,教授,博士研究生導師。主要研究方向為電子制造
摩擦學。 E-mail: jiecheng@cumtb.edu.cn
相關鏈接