TB8鈦合金的名義成分為Ti-15Mo-2.7Nb-3Al-0.2Si,是一種亞穩態β鈦合金。與其它鈦合金相比,TB8鈦合金不僅具有高強度、低模量、優異的成型性和耐腐蝕性能,還具有優良的高溫強度、高溫抗氧化性能,因此該合金可以作為一種較為理想的航空結構材料[1-3]。
通常β型鈦合金可以通過固溶+時效熱處理實現其微觀組織的調控,從而提高其使用性能。鈦合金由于固溶冷卻方式的不同使得合金強度存在差異。但固溶冷卻方式的改變對合金組織和性能的影響還存在較大的爭議。王慶娟等[4]的研究表明,新型β鈦合金(Ti-3Al-8V-4Mo-4Cr-4Zr-2Nb-2Fe)固溶水冷+時效因其冷卻速度較固溶空冷+時效快,晶界更清晰,晶內更干凈,析出相體積分數小,因此合金強度低于固溶空冷,但存在析出不均勻的現象。鄧喆等[5]的研究表明,TC18鈦合金固溶水冷因其冷卻速度較空冷快,大量亞穩β相得以保留,時效過程中分解析出較多細針狀α相,因而固溶水冷+時效合金強度高于空冷。綜上可知,固溶冷卻方式對β鈦合金的組織性能影響尚不十分明確。而國內外針對固溶冷卻方式對TB8鈦合金組織和性能影響的研究鮮有報道。因此,本文針對固溶冷卻方式及不同冷卻方式下時效溫度對TB8鈦合金顯微組織和拉伸性能的影響進行了研究,從而為TB8鈦合金在航空航天飛行器超高強度緊固件、彈性組件及結構件中的應用提供參考[6]。
1、試驗材料與方法
本試驗所用的材料為TB8鈦合金。試樣尺寸為φ50mm的棒材,用金相法測定得其相變點為800℃。
本試驗所選的固溶溫度為830℃,保溫時間為1h,冷卻方式分別為空冷(AC)和水冷(WQ)。隨后進行時效處理,時效溫度分別選取530、550、570、590℃,保溫8h,空冷,共10種不同熱處理制度,具體的試驗熱處理制度及編號見表1。從φ50mm鈦合金棒材中用線切割切成10mm×10mm×18mm的長方體試樣,進行固溶時效熱處理,隨后對試樣進行室溫拉伸性能測試,并觀察合金的顯微組織。試樣的室溫拉伸性能測試在Instron5969拉伸試驗機上進行。熱處理后的合金采用DM2000X倒置金相顯微鏡和phenom臺式掃描電鏡觀察顯微組織。熱處理設備為CWX-5-12C型中溫箱式熱處理爐。

2、試驗結果及討論
2.1固溶冷卻方式及時效溫度對β晶粒尺寸的影響
圖1是TB8鈦合金試樣經過830℃固溶處理后不同冷卻方式下的顯微組織。通過觀察金相組織可以發現,合金經過830℃固溶處理后,組織全部轉變為單一的β晶粒組織。原因是830℃處在β相變點以上,固溶處理后獲得單一的亞穩相組織。固溶處理后不同冷卻方式下所得到的晶粒大小略有差異,經統計,830℃固溶處理后空冷平均晶粒尺寸為60μm左右,水冷后晶粒尺寸較空冷后晶粒尺寸略顯細小。時效溫度對β晶粒尺寸的影響可以忽略,故本文不再贅述。

2.2固溶冷卻方式及時效溫度對α相形貌尺寸的影響
圖2為TB8鈦合金經過不同熱處理工藝后的顯微組織。其中,圖2(a)~(d)分別為合金在830℃固溶空冷條件下不同溫度時效處理后的顯微組織形貌。從圖中可看出,試樣經過時效處理后α相的形貌和位置會有所差異。時效后析出α相的原因是試樣在β相區固溶后得到是亞穩定的β相,在隨后的時效過程中會產生很大的驅動力分解成α相[7]。合金在530℃進行時效處理時,在β相晶粒的內部以及晶界位置同時均勻析出針狀或短棒狀的次生α相,如圖2(a)所示。當時效溫度升高到550℃時,細小的晶界α相向晶粒內部生長,并伴隨著α相的粗化(圖2(b))。當時效溫度繼續升高到570℃(圖2(c))時,不同取向的片層α相相互交叉,形成網狀結構。

當時效溫度達到590℃時,α相更加粗大(圖2(d))。圖2(e)~(h)分別為TB8鈦合金在830℃固溶處理水冷后,不同溫度時效處理后的顯微組織。從中可以發現,固溶后冷卻方式的變化并不會對時效后合金相組成與分布產生較大影響。對比可知,相較于空冷,合金在水冷后析出的次生α層更加細小。由于水冷時冷卻速度較高,此時合金的瞬時過冷度較大,故α相的形核率較高。由于相互競爭生長,固溶后水冷處理可獲得較為細化的α片層組織。當合金在530℃進行時效處理時,在β相晶粒的晶界位置和晶粒內部都會析出針狀或短棒狀的α相,晶界處的α相垂直于晶界平行排列,晶粒內部的α相相互交叉排列呈一定的角度。隨著時效溫度的繼續升高,次生α相發生粗化逐漸長大成為大尺寸的α相片層,長大的α相片層貫穿整個β相晶粒,并相互交織成網狀,如圖2(g)、(h)所示。
為了更清楚地分析固溶冷卻方式和時效溫度對α相形貌尺寸的影響,本文基于掃描圖像對部分熱處理工藝下的組織進行統計分析(圖3)。圖3(a)是試樣經過830℃固溶空冷+530℃時效后的掃描圖。經過統計得出,此時α相的寬度為0.18μm。當時效溫度達到590℃時,α相的寬度增加到0.50μm(圖3(b))。由圖3(c)、(d)知,水冷+530℃時效后,α相的寬度為0.15μm;當時效溫度達到590℃時,α相的寬度為0.42μm。可以發現:無論固溶后采取何種冷卻方式,隨著溫度的升高,α相的寬度都在不斷增加。原因是合金在比較高的溫度下時效時,相變驅動力較小,α相形核動力不足,使其形核受到影響,此時溶質的擴散速度較快,容易形成大尺寸的α相[8]。在相同時效溫度下,水冷后α相的寬度比空冷后α相的寬度減小了0.03~0.08μm。

2.3時效溫度對室溫拉伸性能的影響
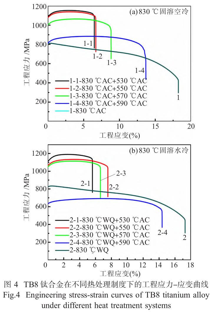
圖4是TB8鈦合金在不同熱處理制度下的工程應力-應變曲線。從圖中可以看出,不同的時效處理溫度下合金的拉伸性能存在較大的差異。圖4(a)是TB8鈦合金在830℃固溶空冷條件下的工程應力-應變曲線。相較于固溶態,合金經時效處理后強度明顯提升。固溶空冷后合金的屈服強度為800MPa,當時效溫度為530℃時,試樣的屈服強度增加幅度最大,強度提高了287MPa,達到1087MPa。TB8鈦合金時效后強度提高的主要原因是時效強化,合金在單相區固溶處理后可以得到過飽和固溶體,過飽和固溶體大多數是亞穩定的,在加熱到一定溫度后會發生分解產生第二相,第二相可阻礙位錯運動,從而起到強化作用。從圖4(a)中可以看出,隨著時效溫度的升高,合金的強度呈下降趨勢。當時效溫度在530℃時,在晶界和晶粒內部都有α相的析出,α相的尺寸最小,數量最多,因此合金的屈服強度最高,此時合金的屈服強度為1087MPa。當時效溫度升高到550℃時,合金的屈服強度下降為1077MPa。隨著溫度的升高,α相的生長獲得了充足的驅動力,α相的尺寸在不斷增加。析出相的粗化降低了位錯滑移阻力,削弱了時效強化效果,因此合金的強度在不斷降低。當時效溫度升高到570℃時,合金的屈服強度降低到1002MPa。當時效溫度達到590℃時,合金的強度最低,此時合金的屈服強度為813MPa。圖4(b)是TB8鈦合金在830℃固溶水冷條件下的工程應力-應變曲線。從圖4(b)可知,合金在經過固溶水冷+時效處理及固溶空冷+時效處理后強度的變化趨勢相同。水冷后合金的屈服強度為820MPa,水冷+時效后合金的最高強度同樣在時效530℃時得到,此時屈服強度為1108MPa,抗拉強度為1190MPa。當時效溫度達到590℃時,合金強度下降幅度最大,此時合金的強度最低,屈服強度為633MPa,抗拉強度為682MPa。

時效溫度的變化不僅會對合金的強度產生影響,同時,還會對合金的塑性產生影響。隨著時效溫度的提高,合金塑性在整體上呈現增加的趨勢。原因是隨著溫度的升高,α相寬度增加,粗化的次生α相使裂紋擴展路徑更加曲折,增加了裂紋擴展阻力,最終提高了合金的延性和斷裂韌性[9]。固溶后空冷條件下,合金的塑性由530℃時效后的6.4%升高到590℃時效后的13.6%。在固溶后水冷條件下,合金的塑性由530℃時效后的5.6%升高到590℃時效后的14.3%。
2.4固溶冷卻方式對室溫拉伸性能的影響
固溶后冷卻方式的不同也會導致合金的強度存在差異。圖5為不同固溶冷卻方式對TB8鈦合金強度的影響。整體來看,當時效溫度在530~570℃水冷條件下,合金的強度比空冷條件下強度略高,其中570℃水冷條件下合金的屈服強度比空冷條件下屈服強度提高了45MPa(圖5(a))。原因是在830℃固溶后,能夠保留大量的亞穩β相,亞穩β相在水冷后時效比空冷時效分解后得到的次生α相更加的細小彌散,α相的含量也相對較高。當時效溫度達到590℃時,固溶后空冷析出的α相排列更加均勻,而水冷后α相排列變得不規則,使得空冷后合金的屈服強度比水冷時效后合金的屈服強度提高了180MPa,抗拉強度提高了202MPa。

圖6為不同固溶冷卻方式對TB8鈦合金塑性的影響。由圖可見,TB8鈦合金在不同固溶冷卻方式+時效處理制度下塑性的變化。當時效溫度在530℃和570℃時,空冷方式下合金的塑性比水冷方式下合金的塑性分別提高了0.8%和2.2%。而當時效溫度在550℃和590℃時,空冷方式下合金的塑性比水冷方式下合金的塑性分別降低了0.9%和0.7%。

綜合比較后可知:固溶后采用水冷時效的合金可以獲得更高的強度和塑性匹配。在830℃WQ+530℃AC處理制度下合金的屈服強度最高,達到1087MPa,抗拉強度達到1153MPa,塑性為6.4%;合金的塑性變化與合金的強度呈現相反的關系。通過調整固溶后的冷卻方式和時效溫度,可以得到符合要求的TB8鈦合金結構件。
3、結論
(1)TB8鈦合金在β相區進行固溶處理后,獲得的組織為單一的等軸β晶粒。
(2)TB8鈦合金經固溶+時效后,其顯微組織主要由α+β相組成。在時效過程中,α相在β相晶界以及晶粒內部同時析出,但從晶界位置析出的α相含量遠高于晶體內部。隨著時效溫度的升高,析出的α相不斷粗化長大,貫穿晶粒分布并彼此交織成網狀。
(3)TB8鈦合金的拉伸性能由固溶后冷卻方式和時效處理溫度決定。經固溶后水冷+時效,合金可以獲得更高的強度和塑性匹配。無論是空冷還是水冷,隨著時效溫度的升高,合金的屈服強度呈現逐漸降低的趨勢,而合金的塑性呈升高的趨勢。采用830℃WQ+530℃AC處理后,合金可以獲得良好的綜合性能,此時,合金的屈服強度為1087MPa,抗拉強度為1153MPa,塑性為6.4%。
參考文獻:
[1] Bania P J.Beta titanium alloys and their role in the titanium industry[J].JOM , 1994 , 46(7) : 16-19.
[2] Ivasishin O M , Markovsky P E , Matviychuk Y V , et al.A comparative study of the mechanical properties of high-strength β-titanium alloys[J].Journal of Alloys & Compounds , 2008 ,457(1) : 296-309.
[3] 商國強,朱知壽,常輝,等 . 超高強鈦合金研究進展 [J]. 稀有金屬, 2011 , 35(2) : 286-291.
[4] 王慶娟,李強,孫亞玲 . 熱機械處理對 β 鈦合金組織性能的影響 [J]. 金屬熱處理, 2018 , 43(10) : 127-132.
[5] 鄧喆,張曉泳,李志友,等 . 固溶 - 時效對 TC18 鈦合金顯微組織與性能的影響 [J]. 材料熱處理學報, 2014 , 35(8) : 23-30.
[6] 張利軍,田軍強,白鈺,等 .TB8 超高強鈦合金的熱處理工藝[J]. 中國有色金屬學報, 2010 , 20(S1) : 670-673.
[7] Boyer R R , Rosenberg H W , Duerig T W , et al.Beta-titani-um alloys in the 80 ’ s[M].Warrendale : Metallurgical Society of AIME , 1984 : 19-69.
[8] 何丹,王慶娟,高頎,等 . 新型 β 鈦合金時效析出相的演變及硬化 [J]. 稀有金屬, 2016 , 40(7) : 633-639.
[9] 武川,詹梅 . 固溶 - 時效熱處理工藝對近 β 鈦合金顯微組織演化與力學性能的影響 [J]. 中國有色金屬學報, 2019 , 29(5) :997-1006.
相關鏈接